• Предмет: Математика
  • Автор: Аноним
  • Вопрос задан 8 лет назад

Ну помогите кто-нибудь. Почему именно мне не помогают? :(​

Приложения:

Ответы

Ответ дал: parus77
0

Ответ:

Пошаговое объяснение:

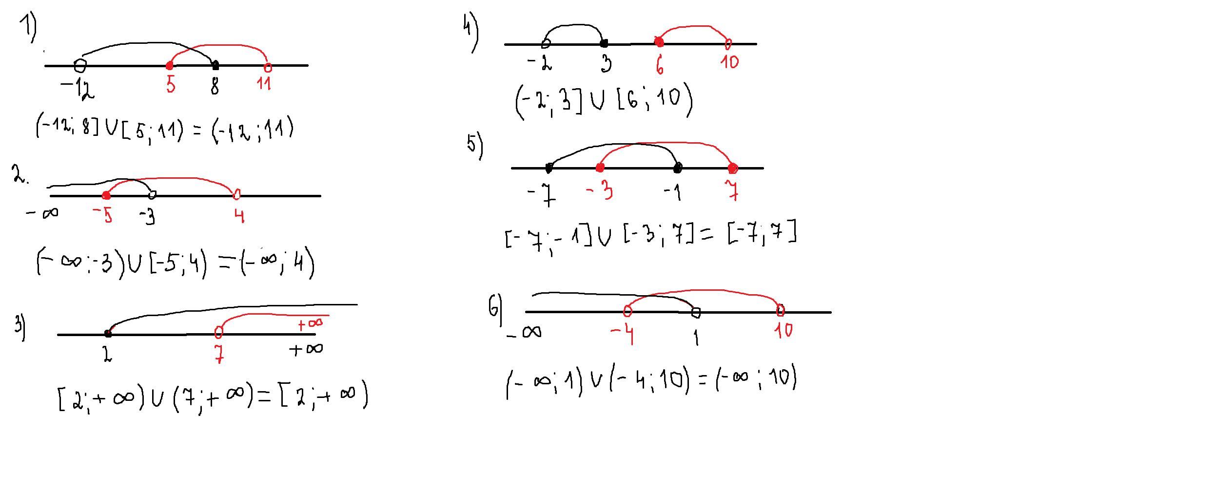
когда скобка квадратная-точка закрашена,когда круглая- то точка не закрашена,там"прокол".

Приложения:
Вас заинтересует