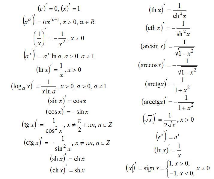
Помогите разобраться, нужно найти производные от каждой функции, найти с 5-10
Либо же объяснить, как работают производные от, допустим,
Приложения:

Ответы
Ответ дал:
0
Ответ:
Пошаговое объяснение:
можно представить как
, по второй формуле, выносишь степень вперед, а саму степень уменьшаешь на 1, то есть y`=
Приложения:

Ответ дал:
0
И это окончательный ответ?
Вас заинтересует
2 года назад
2 года назад
3 года назад
3 года назад
8 лет назад
8 лет назад
9 лет назад