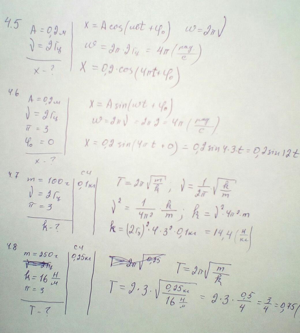
Ответы
Ответ дал:
0
Ответ:
.......................................
Приложения:

Вас заинтересует
2 года назад
3 года назад
3 года назад
9 лет назад