• Предмет: Математика
  • Автор: Loxrusskiy
  • Вопрос задан 8 лет назад

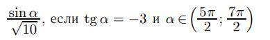
Решите,10 класс........

Приложения:

Ответы

Ответ дал: YourSon
0

Ответ:

1/sin^2a=1+ctg^2a

tg(a)=1/ctg(a)

Дальше сам)

Ответ дал: Loxrusskiy
0
Спасибо
Вас заинтересует