• Предмет: Алгебра
  • Автор: s0kolovaludmila
  • Вопрос задан 8 лет назад

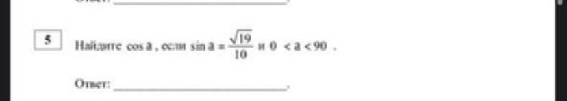
помогите 10 класс
тригонометрия

Приложения:

Ответы

Ответ дал: Universalka
0

α - угол первой четверти значит Cosα > 0 .

Cosalpha=sqrt{1-Sin^{2}alpha}=sqrt{1-(frac{sqrt{19}}{10})^{2}}=sqrt{1-frac{19}{100}}=sqrt{frac{81}{100}} =frac{9}{10}=0,9\\Otvet:boxed{Cosalpha=0,9}

Ответ дал: tshnyryova2000
0

Тождество:

sin²a+cos²a=1

Выразим cos²a

cos²a=1-sin²a или cosa=√1-sin²a

0<a<90 (1 четверть, где cosа с плюсом)

cosa=±√1²-(√19/10)²=±√1-19/100=±√(100-19)/100=±√81/100=9/10=0,9

Ответ дал: tshnyryova2000
0
извините
Вас заинтересует