• Предмет: Математика
  • Автор: alika5184
  • Вопрос задан 8 лет назад

Вычислите значение выражения а^3+b^3 при а+b=16, ab=-28. С ОБЪЯСНЕНИЕМ ....ДАЮ 50БАЛЛОВ

Ответы

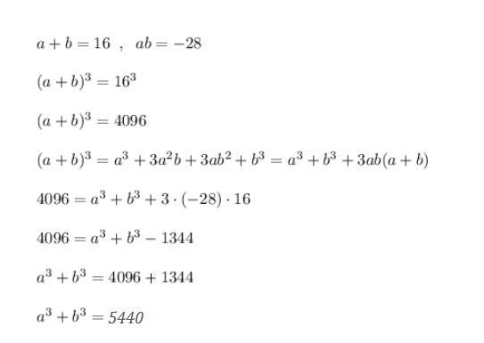
Ответ дал: NNNLLL54
0

............................................................................

Приложения:
Ответ дал: Namib
0

Ответ:

5440

Пошаговое объяснение:

 {a}^{3}  +  {b}^{3}  = (a + b)( {a}^{2}  - ab +  {b}^{2} ) =  \  = (a + b)( ({a}^{2}  + 2ab +  {b}^{2}) - 3ab) =  \  = (a + b)(  {(a + b)}^{2}  - 3ab)

подставляем значения:

 = 16( {16}^{2}  - 3 times ( - 28)) =  \  = 16 times (256 + 84) = 16 times 340 = 5440

Приложения:
Ответ дал: alika5184
0
Спасибо)
Вас заинтересует