• Предмет: Математика
  • Автор: glupiypesel
  • Вопрос задан 8 лет назад

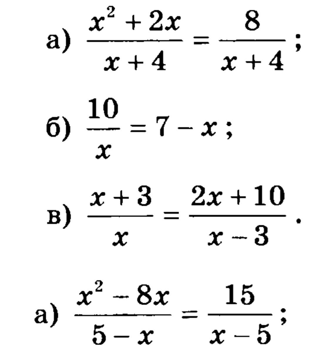
помогите с заданием по алгебре

Приложения:

Ответы

Ответ дал: libridzh
0

Ответ:

т.к. больше 3 вопросов нельзя выкладывать, потому решила тебе 3.

Пошаговое объяснение:

1) х² + 2х - 8 = 0

D = 4 - 4*(-8) = 36

√D = 6

x_{1,2}=frac{-b+-sqrt{D}}{2a}

x₁ = (-2 + 6)/2 = 2

x₂ = (-2 - 6)/2 = -4

2) x(7 - x) = 10

- x² + 7x - 10 = 0

D = 49 - 4*(-1)*(-10) = 9

√D = 3

x₁ = (-7 + 3)/(-2) = 2

x₂ = (-7 - 3)/(-2) = 5

3) (x - 3)(x + 3) = x(2x + 10)

x² - 9 - 2x² - 10x = 0

-x² - 10x - 9 = 0

D = 100 - 4*(-1)*(-9) = 64

√D = 8

x₁ = (10 + 8)/(-2) = -9

x₂ = (10 - 8)/(-2) = -1

Вас заинтересует