• Предмет: Математика
  • Автор: mikhalinaanna
  • Вопрос задан 8 лет назад

помогииите срочно геометрия​

Приложения:

Ответы

Ответ дал: Ифигения
0

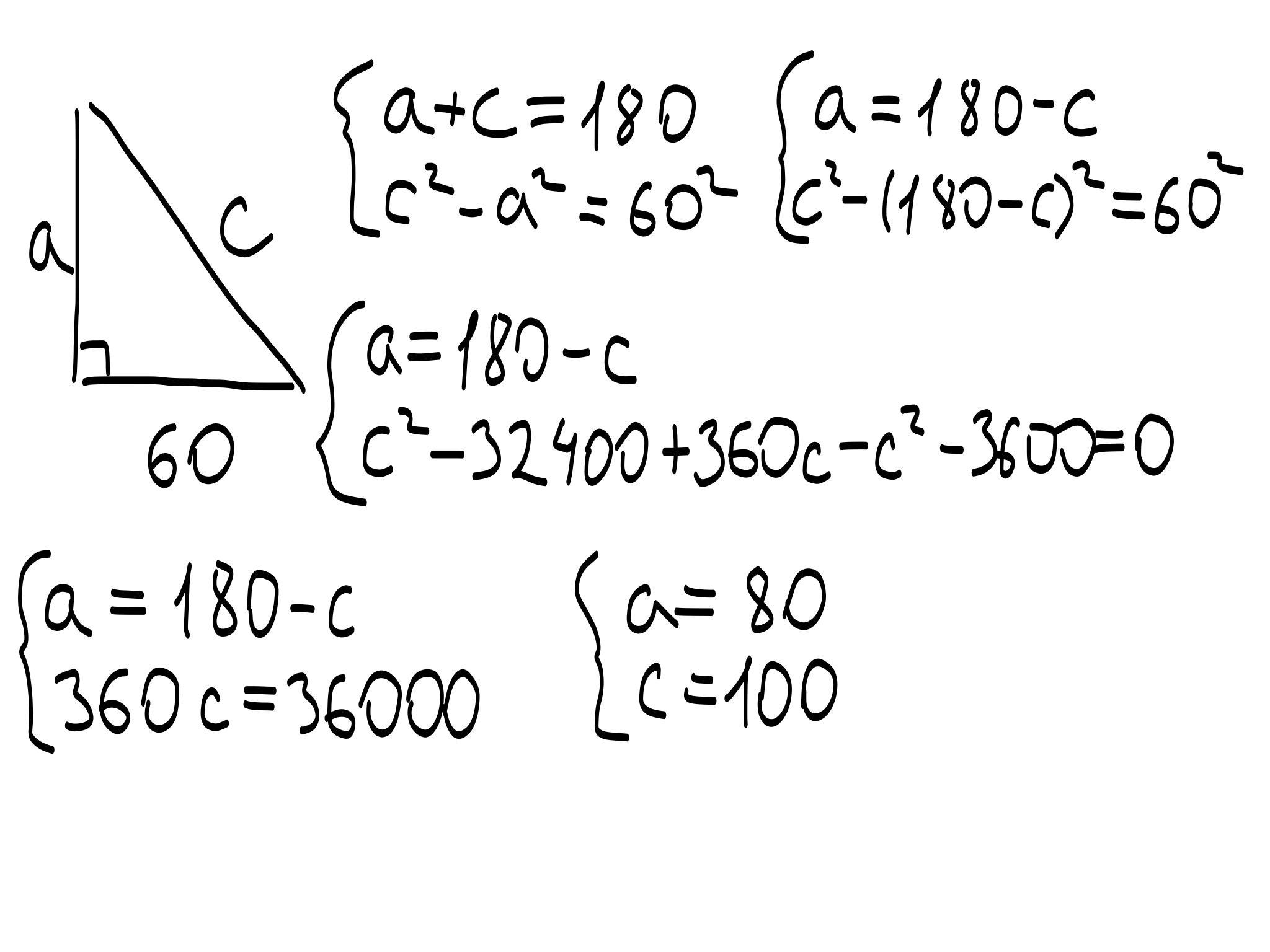
Ответ: 100м

Пошаговое объяснение:

Приложения:
Вас заинтересует