• Предмет: Алгебра
  • Автор: girlokay
  • Вопрос задан 8 лет назад

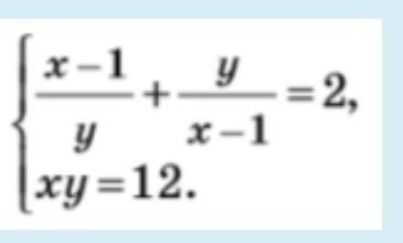
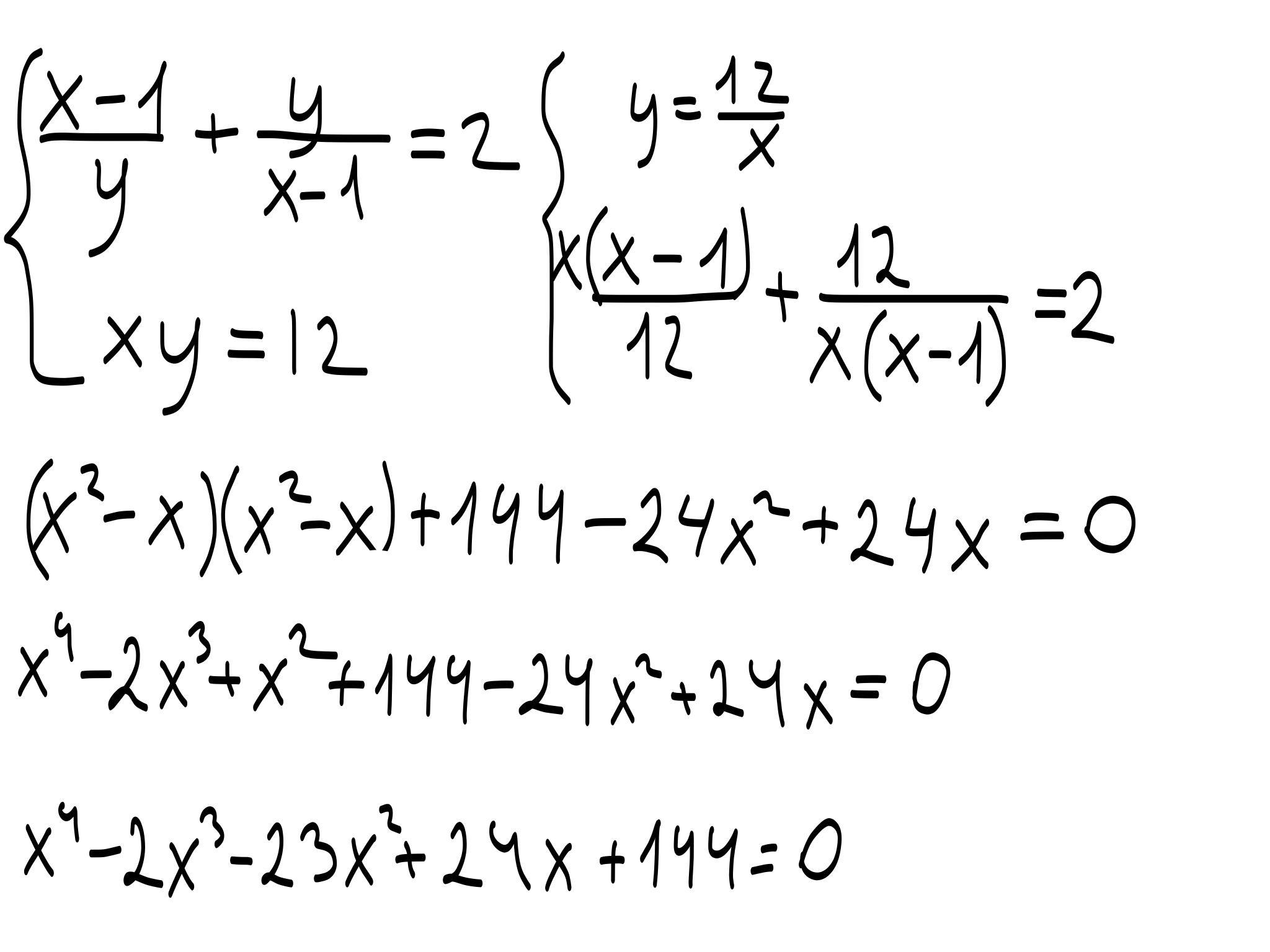
ПОМОГИТЕ РЕШИТЬ СИСТЕМУ УРАВНЕНИЙ ,СРОЧНО​

Приложения:

Ответы

Ответ дал: Ифигения
0

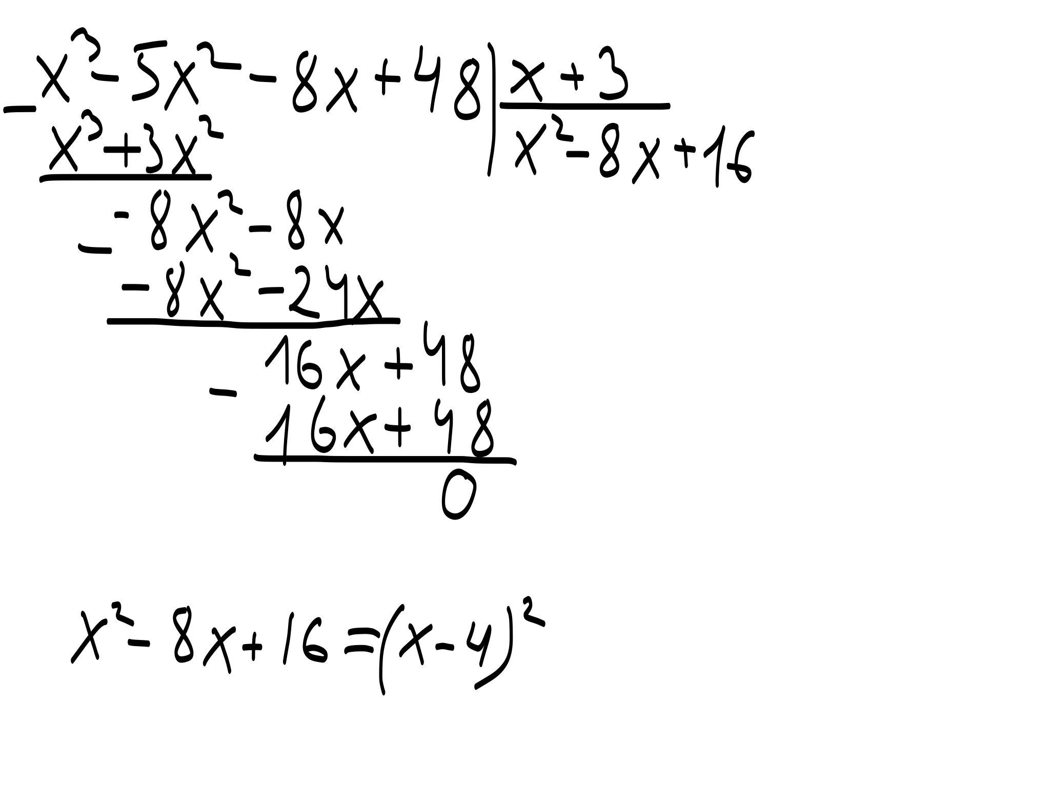
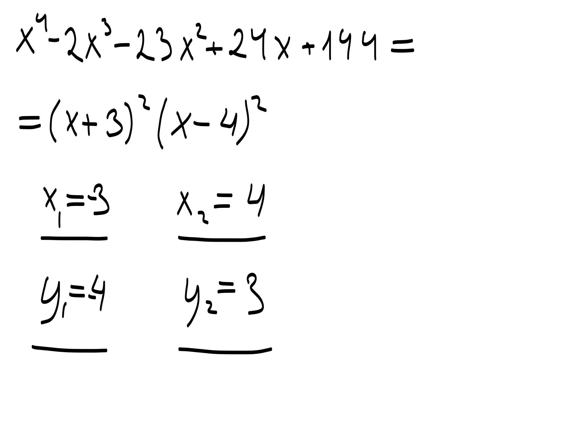
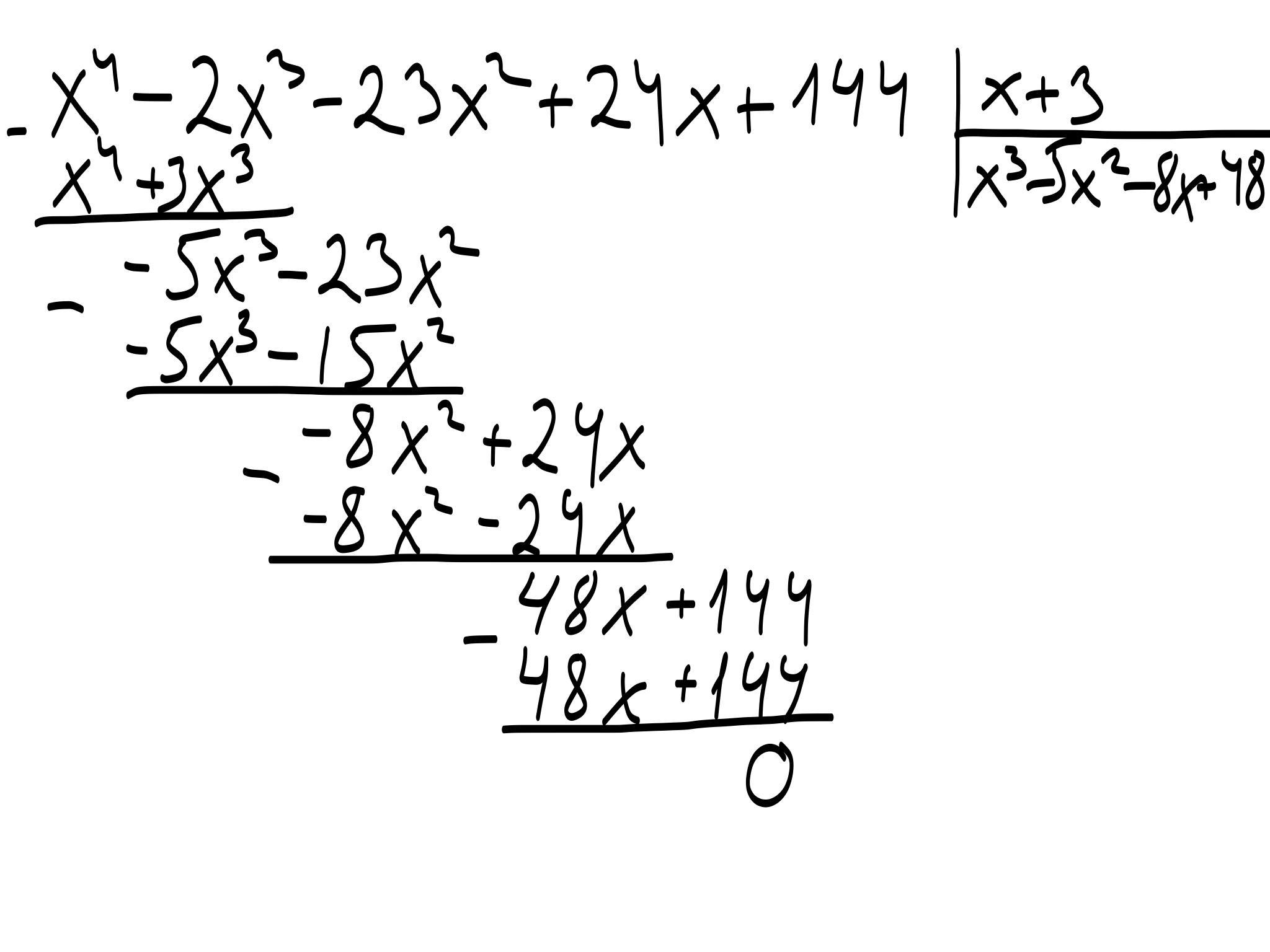
Ответ: (-3;-4), (4;3)

Объяснение:

Приложения:
Вас заинтересует