• Предмет: Физика
  • Автор: Nastya171167
  • Вопрос задан 8 лет назад

Помогите пожалуйста не пойму как делать

Приложения:

Ответы

Ответ дал: IUV
0

Ответ:

Объяснение:

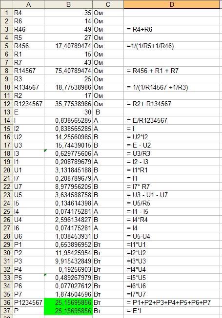
смотри во вложении

Приложения:
Ответ дал: TheMrIceWolf
0
Пожалуйста, очень нужно!
Ответ дал: малинка179
0
Помогите с этими заданиями, очень срочно)​
https://znanija.com/task/34390667?utm_source=android&utm_medium=share&utm_campaign=question
Вас заинтересует