• Предмет: Алгебра
  • Автор: stormhokage27
  • Вопрос задан 8 лет назад

ДАЮ 100 БАЛОВ ПОМОГИТЕ​

Приложения:

Ответы

Ответ дал: Neizvestenya
0

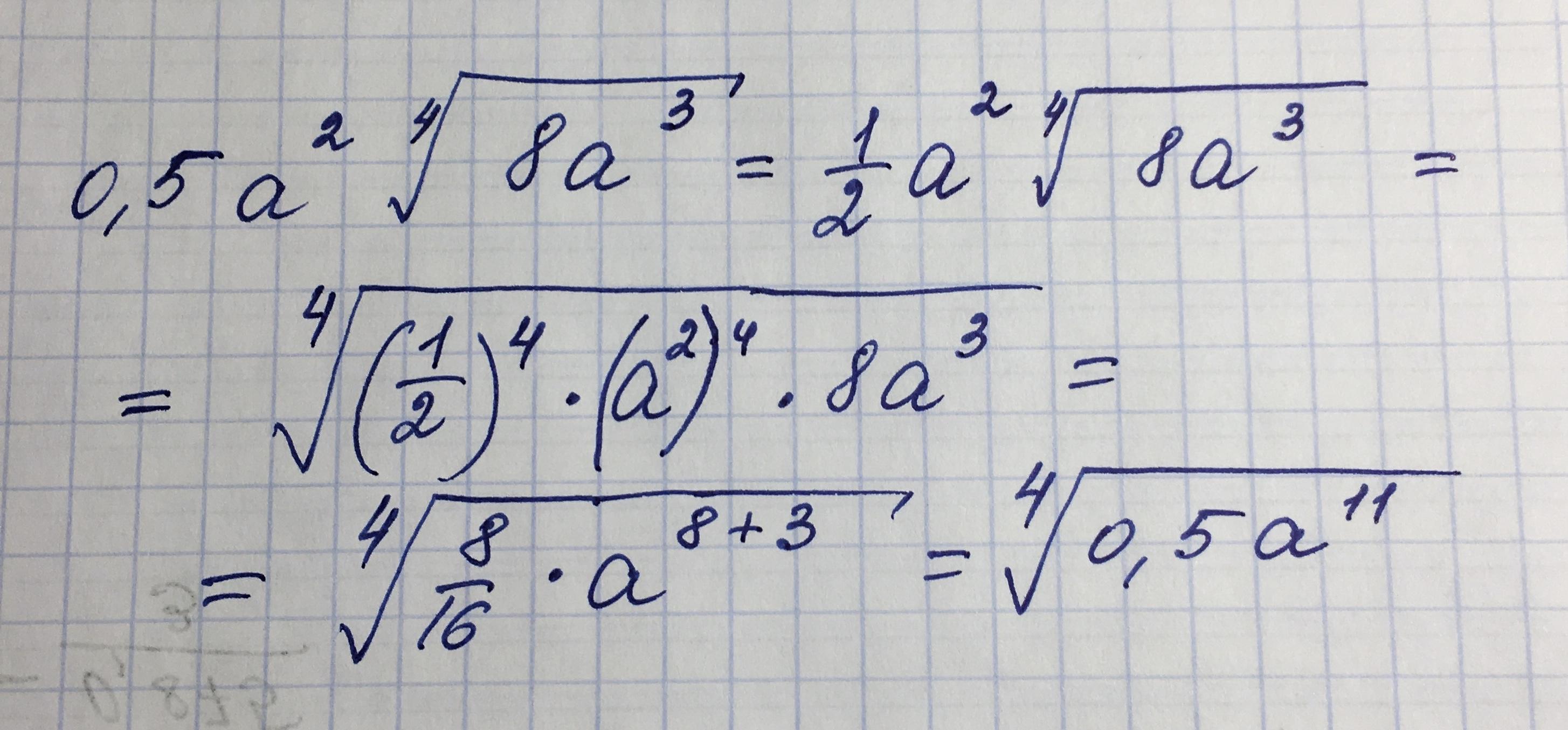
До внесения под корень показатель степени у а - двойка. Станет 2*4 = 8

0,5 станет 0,5^4

sqrt[4]{0,0625 * a^{8} * a^{3} * 8}  = sqrt{0,5a^{11}}

Ответ дал: ВладимирБ
0

Ответ:

Объяснение:

...................................

Приложения:
Вас заинтересует