• Предмет: Химия
  • Автор: dssurelo
  • Вопрос задан 8 лет назад

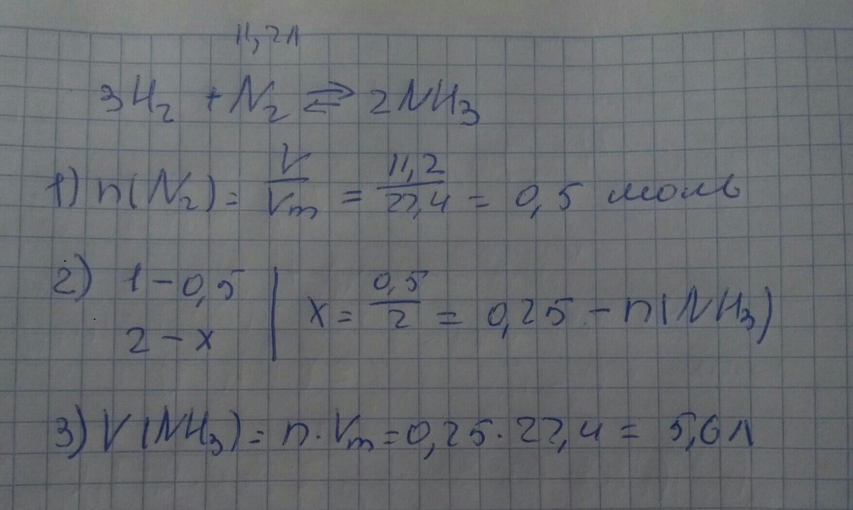
Вычислить объем аммиака NH3, получившегося при взаимодействии 11,2 л азота с водородом.

Ответы

Ответ дал: zexafo
0
ответ смотри во вложении
Приложения:
Вас заинтересует