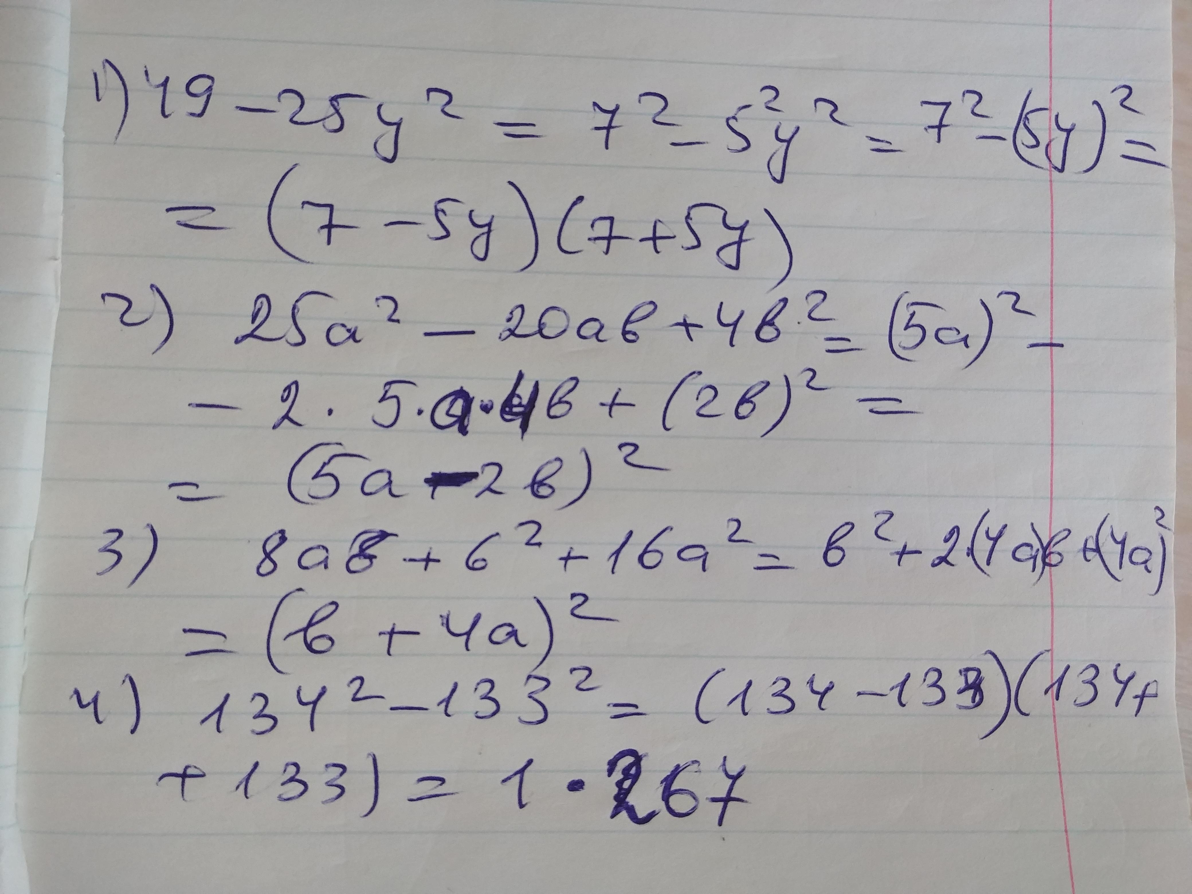
49-25y во второй степени
25а во второй степени-20аб+4б во второй степени
8аб+б во второй степени +16а во второй степени
134во второй степени - 133 во второй степени
157во второй степени +2*43+43 во второй степени
Подробнее пожалуйста
Ответы
Ответ дал:
0
Ответ:
решение на фото
Объяснение:
Приложения:

Вас заинтересует
2 года назад
2 года назад
3 года назад
3 года назад
8 лет назад
8 лет назад
9 лет назад