• Предмет: Алгебра
  • Автор: zexafo
  • Вопрос задан 8 лет назад

Помогите, пожалуйста, если можно с объяснением

Приложения:

Ответы

Ответ дал: sebrithien
0

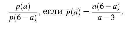
Ответ:

 frac{a}{ap - 3p}

Объяснение:

1. Подставлям значение вместо p(a)

 frac{ frac{a(6 - a)}{a - 3} }{p(6 - a)}

    2. Переписываем в удобный вид

 frac{a(6 - a)}{a - 3}  div p(6 - a)

    3. Меняем знак деления на умножение, делая дробь и переворачивая её

frac{a(6-a)}{a-3}  times frac{1}{p(6-a)}

    4.

 frac{a(6 - a)}{a - 3}  times  frac{1}{p(6 - a)}

    5. Выражение (6 - a) сокращается у обоих дробе

 frac{a}{(a - 3)p}

    6. Вычисляем знаменатель

 frac{a}{ap - 3p}

Вас заинтересует