• Предмет: Алгебра
  • Автор: vikacat2006444
  • Вопрос задан 8 лет назад

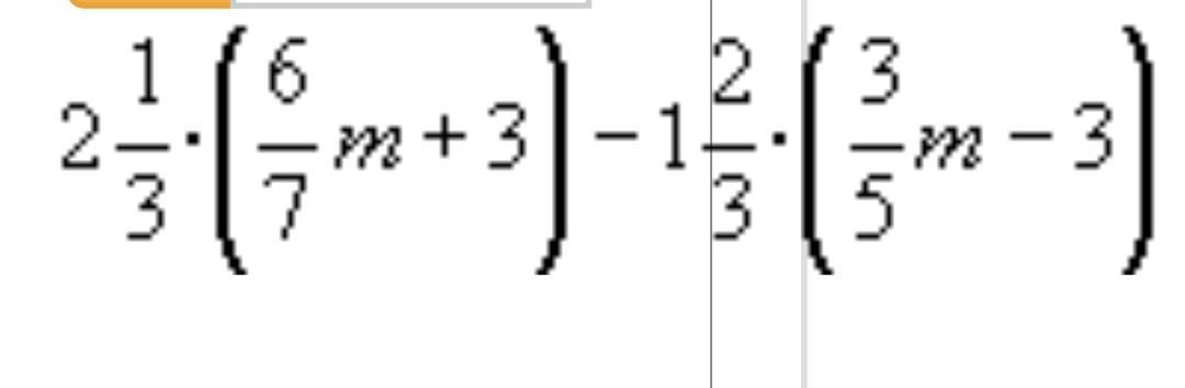
упростить, пж. Все на фотографии. с подробным решением​

Приложения:

Ответы

Ответ дал: polina2005io1113
0

frac{7}{3} *(frac{6}{7} m+3)-frac{5}{3} *(frac{3}{5} m-3)\frac{1}{3} (7(frac{6}{7} m+3)-5(frac{3}{5} m-3))\frac{1}{3} (6m+21-3m+15)\frac{1}{3} (3m+36)\frac{1}{3} *3(m+12)\m+12

Вас заинтересует