• Предмет: Алгебра
  • Автор: GruzinAXAl
  • Вопрос задан 8 лет назад

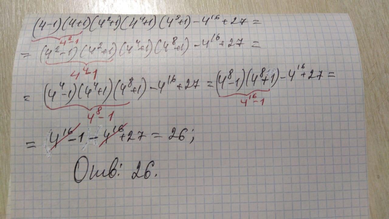
(4−1)⋅(4+1)⋅(4^2+1)⋅(4^4+1)⋅(4^8+1)−4^16+27

Приложения:

Ответы

Ответ дал: iliamorozov01022006
0

Ответ:

(4-1)*(4+1)*(4²+1)*(4⁴+1)*(4^8+1)-4^16+27=26

Ответ дал: terikovramazan
0

Ответ:(4−1)⋅(4+1)⋅(4^2+1)⋅(4^4+1)⋅(4^8+1)−4^16+27 =26

Объяснение:

Приложения:
Вас заинтересует