• Предмет: Алгебра
  • Автор: hsshanann
  • Вопрос задан 8 лет назад

помооогите срооочноооо​

Приложения:

Ответы

Ответ дал: viitoriia44666
0

Ответ:

2,32

Объяснение:

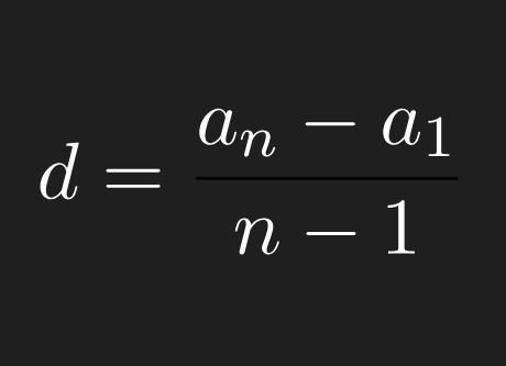
вычисляется по формуле нахождения разности арифметической прогрессии:d=a(n)-a(1)/n-1,т.е

d=9,15-6,83/5-4=2,32:1=2,32

формула выглядит так:

Приложения:
Вас заинтересует