• Предмет: Алгебра
  • Автор: iodopsinum
  • Вопрос задан 8 лет назад

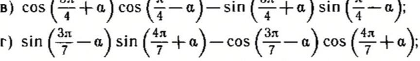
Решить Г.....................

Приложения:

Ответы

Ответ дал: mmb1
0

сos(a + b) = cos(a)cos(b) - sin(a)sin(b)

-сos(a + b) =  sin(a)sin(b) -  cos(a)cos(b)

sin(3π/7 - a)sin(4π/7 + a) - cos(3π/7 - a)cos(4π/7 + a) = - cos(3π/7 - a + 4π/7 + a) = - cos π = - (-1) = 1

Вас заинтересует