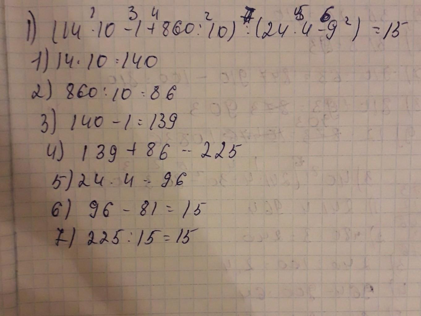
Обчислити: (14*10-1+860:10):(24*4-9квадрат2), (250:25+1квадрат2*2)*(105:3*26-10квадрат2+31*3), 40квадрат2:(241*4-30квадрат2-80*30:100).
Ответы
Ответ дал:
0
1 и 2 решенные по действиям
Приложения:


Ответ дал:
0
Ответ:
Пошаговое объяснение:
(14•10-1+860÷10)÷(24•4-9²)=(140-1+86)÷(96-81)=225÷15=15 (250÷25+1²•2)•(105÷3•26-10²+31•3)=(10+2)•(35•26-100+93)=12•903=10836 40²÷(241•4-30²-80•30÷100)=1600÷(964-900-2400÷100)=1600÷40=40
Приложения:


Вас заинтересует
2 года назад
2 года назад
3 года назад
8 лет назад
9 лет назад