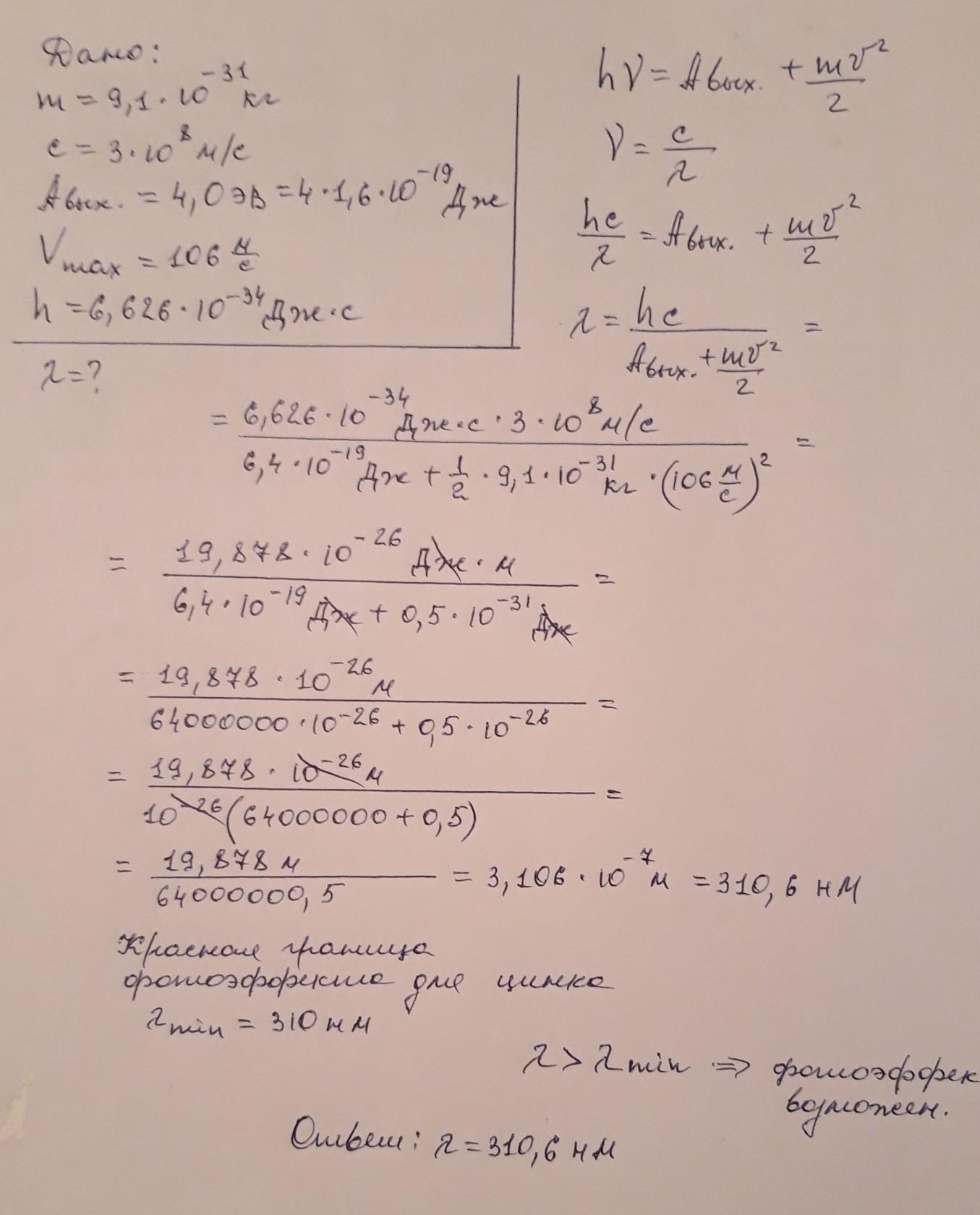
ДАЮ 20 БАЛЛОВ! Умоляю помогите! какова должна быть длина волны лучей, падающих на цинковую пластинку Авых=4,0 эВ чтобы максимальная скорость фотоэлектронов была равна 106 м/с
Ответы
Ответ дал:
0
Ответ:
Красная граница фотоэффекта.
Приложения:

Вас заинтересует
2 года назад
3 года назад
3 года назад
8 лет назад
8 лет назад