• Предмет: Алгебра
  • Автор: sashasasha37373773
  • Вопрос задан 8 лет назад

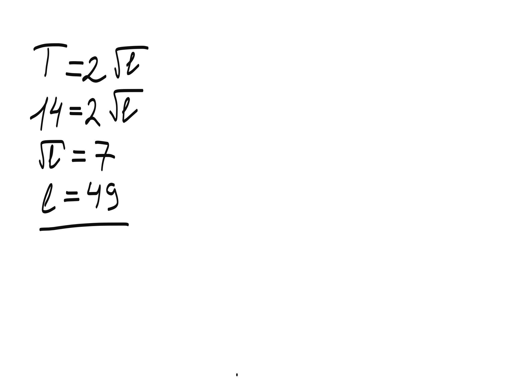
Период колебания математического маятника (в секундах) приближённо можно вычислить по формуле где l — длина нити в метрах. Пользуясь этой формулой, найдите длину нити маятника (в метрах), период колебаний которого составляет 14 секунд.

Ответы

Ответ дал: Ифигения
0

Ответ: l=49

Объяснение:

Приложения:
Вас заинтересует