• Предмет: Алгебра
  • Автор: Sanya21Century
  • Вопрос задан 8 лет назад

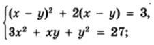
Решите систему уравнений, пожалуйста, дам 20 баллов!!!

Приложения:

Ответы

Ответ дал: NNNLLL54
0

left { {{(x-y)^2+2(x-y)=3} atop {3x^2+xy+y^2=27}} right.\\(x-y)^2+2(x-y)-3=0; ,; ; t^2+2t-3=0; ; to ; ; t_1=-3; ,; t_2=1\\a); ; left { {{x-y=-3qquad } atop {3x^2+xy+y^2=27}} right.; ; left { {{y=x+3qquad qquad qquad } atop {3x^2+x(x+3)+(x+3)^2=27}} right.\\3x^2+x^2+3x+x^2+6x+9-27=0\\5x^2+8x-18=0; ,; ; D/4=16+90=106; ,; ; x_{1,2}=frac{-4pm sqrt{106}}{5}

y_1=frac{-4-sqrt{106}}{5}+3=frac{11-sqrt{106}}{5}; ; ,; ; y_2=frac{-4+sqrt{106}}{5}+3=frac{11+sqrt{106}}{5}\\b); ; left { {{x-y=1qquad } atop {3x^2+xy+y^2=27}} right.; ; left { {{y=x-1qquad qquad qquad } atop {3x^2+x(x-1)+(x-1)^2=27}} right.\\3x^2+x^2-x+x^2-2x+1-27=0\\5x^2-3x-26=0; ; ,; ; D=9+520=529; ,\\x_1=frac{3-23}{10}=-2; ,; ; x_2=frac{3+23}{10}=2,6\\y_1=-2-1=-3; ; ,; ; y_2=2,6-1=1,6

Otvet:; ; (frac{-4-sqrt{106}}{5};frac{11-sqrt{106}}{5}); ,; (frac{-4+sqrt{106}}{5};frac{11+sqrt{106}}{5}); ,; (-2;-3); ,; (2,6, ;, 1,6); .

Вас заинтересует