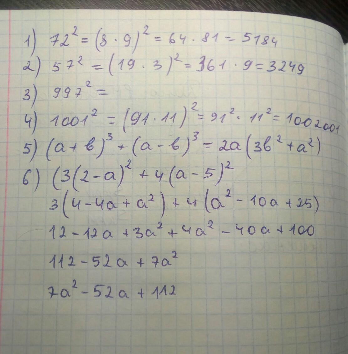
1)72², 2)57², 3)997² ,4)1001²
Выполните действия используя формулу сокрощеного умножения
1)(a+b)³+(a-b)³
2)(3(2-a)²+4(a-5)²
Упростите вырожения
Ответы
Ответ дал:
0
Ответ:
Вот, насчет 3 не знаю, это простое число...
Приложения:

Вас заинтересует
2 года назад
2 года назад
8 лет назад
8 лет назад
9 лет назад