• Предмет: Химия
  • Автор: sokolovauliaofficial
  • Вопрос задан 8 лет назад

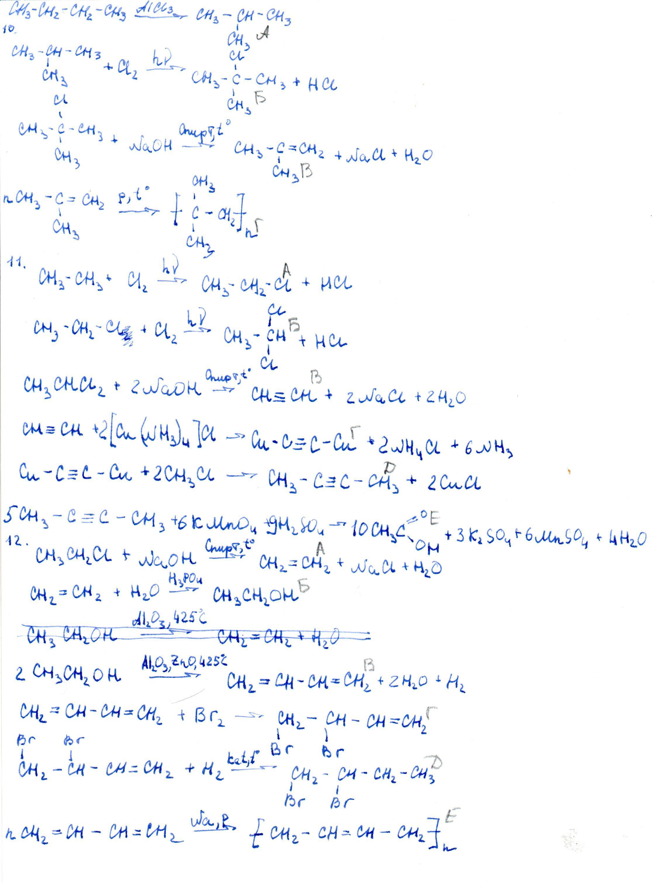
Решите пожалуйста цепочки уравнений

Приложения:

Ответы

Ответ дал: Valery0210
0

Ответ:

ниже

Объяснение:

Приложения:
Вас заинтересует