• Предмет: Алгебра
  • Автор: Antochageargocha
  • Вопрос задан 8 лет назад

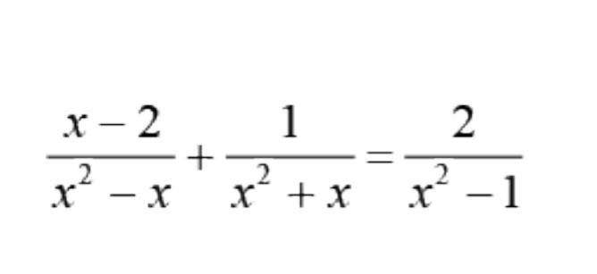
Помогите решить уравнения

Приложения:

Ответы

Ответ дал: Evgenia4836
0

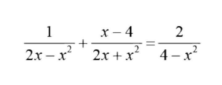
Решение во вложении:

Приложения:
Вас заинтересует