• Предмет: Алгебра
  • Автор: Sanya21Century
  • Вопрос задан 8 лет назад

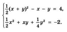
Помогите, пожалуйста, решить систему уравнений, дам 20 баллов

Приложения:

Ответы

Ответ дал: Аноним
0

Ответ:во вложении Объяснение:

Приложения:
Вас заинтересует