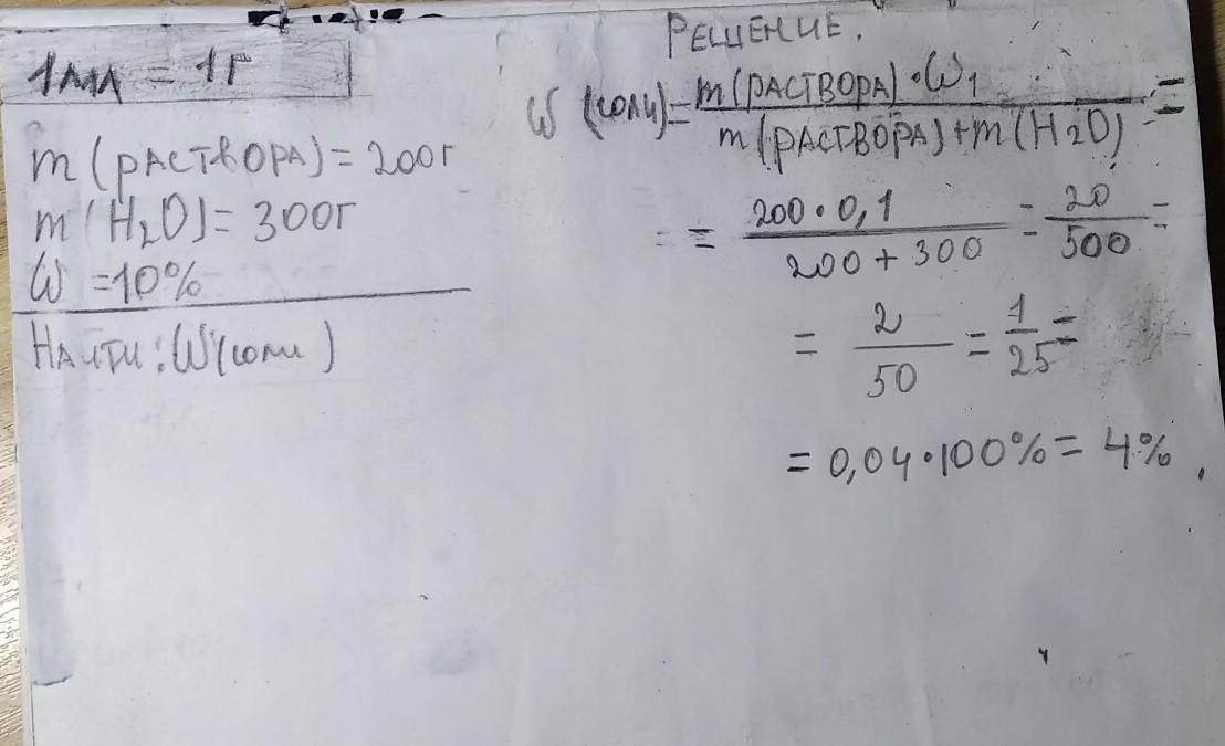
к 200г 10%раствора соли прилили 300 мл воды. Каково процентное содержание соли во вновь полученном растворе?
Ответы
Ответ дал:
0
Переведем миллитры в граммы.
Приложения:

Вас заинтересует
2 года назад
2 года назад
3 года назад
8 лет назад
8 лет назад
9 лет назад