• Предмет: Алгебра
  • Автор: annadmirieva
  • Вопрос задан 8 лет назад

Помогите пожалуйста, срочно! ​

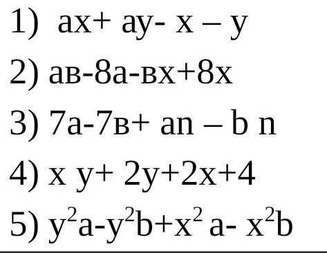
Приложения:

Ответы

Ответ дал: klassnyiparen
0

Ответ:

1)2а

2)-7а9х

3)8а6б

4)3х+3у+4

Ответ дал: mrrr9658
0

Ответ:

1)ax + ay - x - y \ a(x + y) - x - y \ a(x + y) - (x + y) \ (x + y) times (a - 1) \ \

Вас заинтересует