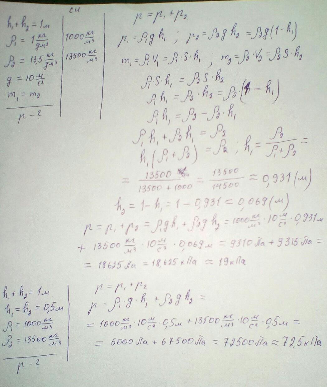
В вертикальную трубку постоянного сечения налиты ртуть и вода.
Суммарная высота столба жидкости равна 1 м.
Плотность воды равна 1кг/дм3, а плотность ртути - 13,5кг/дм3.
g≈10мс2
Найдите давление столба жидкости на дно трубки, если в трубке
а) масса ртути равна массе воды
Дайте ответ в килопаскалях с точностью до целых.
Ответ
кПа.
б) высота слоя ртути равна высоте слоя воды
Дайте ответ в килопаскалях.
Ответы
Ответ дал:
0
Ответ:
.................................
Приложения:

Вас заинтересует
2 года назад
2 года назад
3 года назад
8 лет назад
8 лет назад