• Предмет: Алгебра
  • Автор: hristinkaa
  • Вопрос задан 8 лет назад

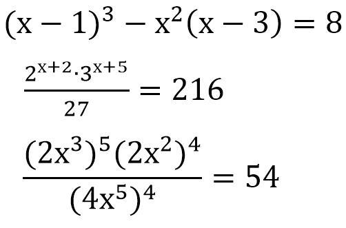
Решите уравнения

(второе решить нужно)

Приложения:

Ответы

Ответ дал: HasAnn
0

Ответ:

2⁵х¹⁵2⁴х⁸ : 4⁴х²⁰=54

2⁹х²³ : 2⁸х²⁰=54

2х³=54

х³=54:2

х³=27

х=3

Объяснение:

Вас заинтересует