Дан ромб Pромба = 40 см. BD (диагональ, из там две) равна 16 см. Найти площадь ABCD. И можете помочь пожалуйста нам математичка давала площадь ромба =D1 х D2/2 и после х 4. Во всех других источниках написано без умножения на четвёрку что делать. Первые две фотографии решены по том как нам давала математичка. А вторые две как дано в интернете
Приложения:




Ответы
Ответ дал:
0
Ответ:
Видимо либо вы неправильно списали,либо математичка что-то того.
Но скорее всего первое
Правильное решение:
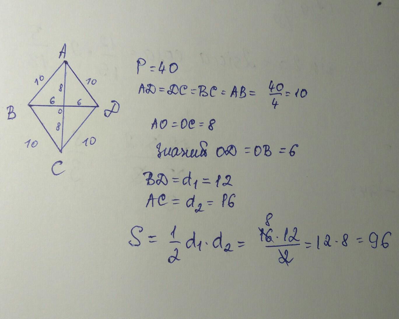
Плошадь ромба находится по формуле половины произведения диагоналей на синус угла между ними.Но т.к. угол между ними 90°, а его синус равен 1,то его просто не пишут:
где d1 - первая диагональ
d2 - вторая
Остальное на фото.
Приложения:

Вас заинтересует
2 года назад
3 года назад
3 года назад
8 лет назад
9 лет назад