Вычислить в Паскаль:
Для проверки нужно прислать коды программ и результаты их работы.
Приложения:

Ответы
Ответ дал:
0
PascalABC.NET
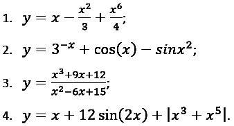
1)
begin
var x := readReal('Введите x');
Print('y =',x-(sqr(x)/3)+(x**6/4));
end.
Результат:
Введите x = 5
y = 3902.91666666667
2)
begin
var x := readReal('Введите x =');
Print('y =',3**-x+cos(x)-sin(sqr(x)));
end.
Результат:
Введите x = 5
y = 0.420129161898448
3)
begin
var x := readReal('Введите x =');
Print('y =',(x**3+9*x+12)/(sqr(x)-6*x+15));
end.
Результат:
Введите x = 5
y = 18.2
4)
begin
var x := readReal('Введите x =');
Print('y =',x+12*sin(2*x)+abs(x**3+x**5));
end.
Результат:
Введите x = 5
y = 3248.47174666933
Вас заинтересует
2 года назад
2 года назад
3 года назад
8 лет назад
9 лет назад