• Предмет: Алгебра
  • Автор: ptchaplits
  • Вопрос задан 8 лет назад

ПОМОГИТЕ!!!!!!!!!!!!!!!!!!!!!!!!!

Приложения:

Ответы

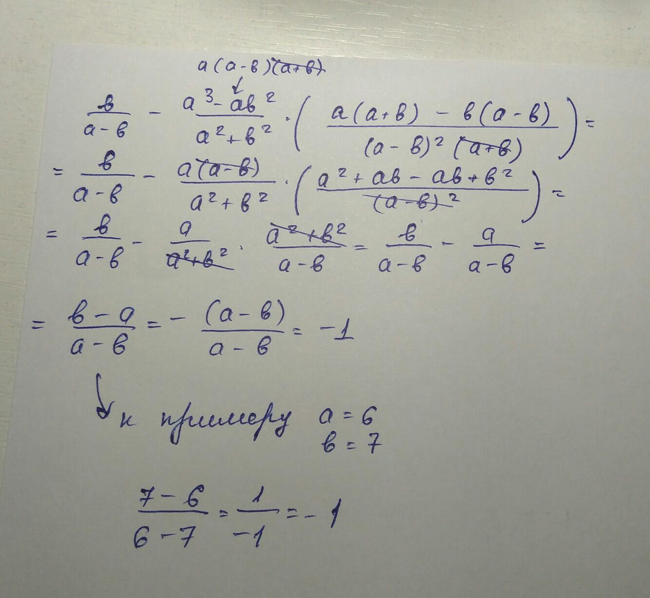
Ответ дал: momogahari
0

_________________________

Приложения:
Ответ дал: mursalovasuriya
0
после приведения к общему знаменателю
Ответ дал: mursalovasuriya
0

Объяснение:

 frac{1 - {p}^{2}  - 1}{1 - p}  div  frac{ {p}^{2}  - p -  {p}^{2} }{p - 1}  =

 -   frac{ {p}^{2} }{1 - p}  div  frac{p}{1 - p}  =  -  frac{ {p}^{2} }{1 - p}  times  frac{1 - p}{p}  =  - p

Приложения:
Вас заинтересует