• Предмет: Математика
  • Автор: olegkorablyov08
  • Вопрос задан 8 лет назад

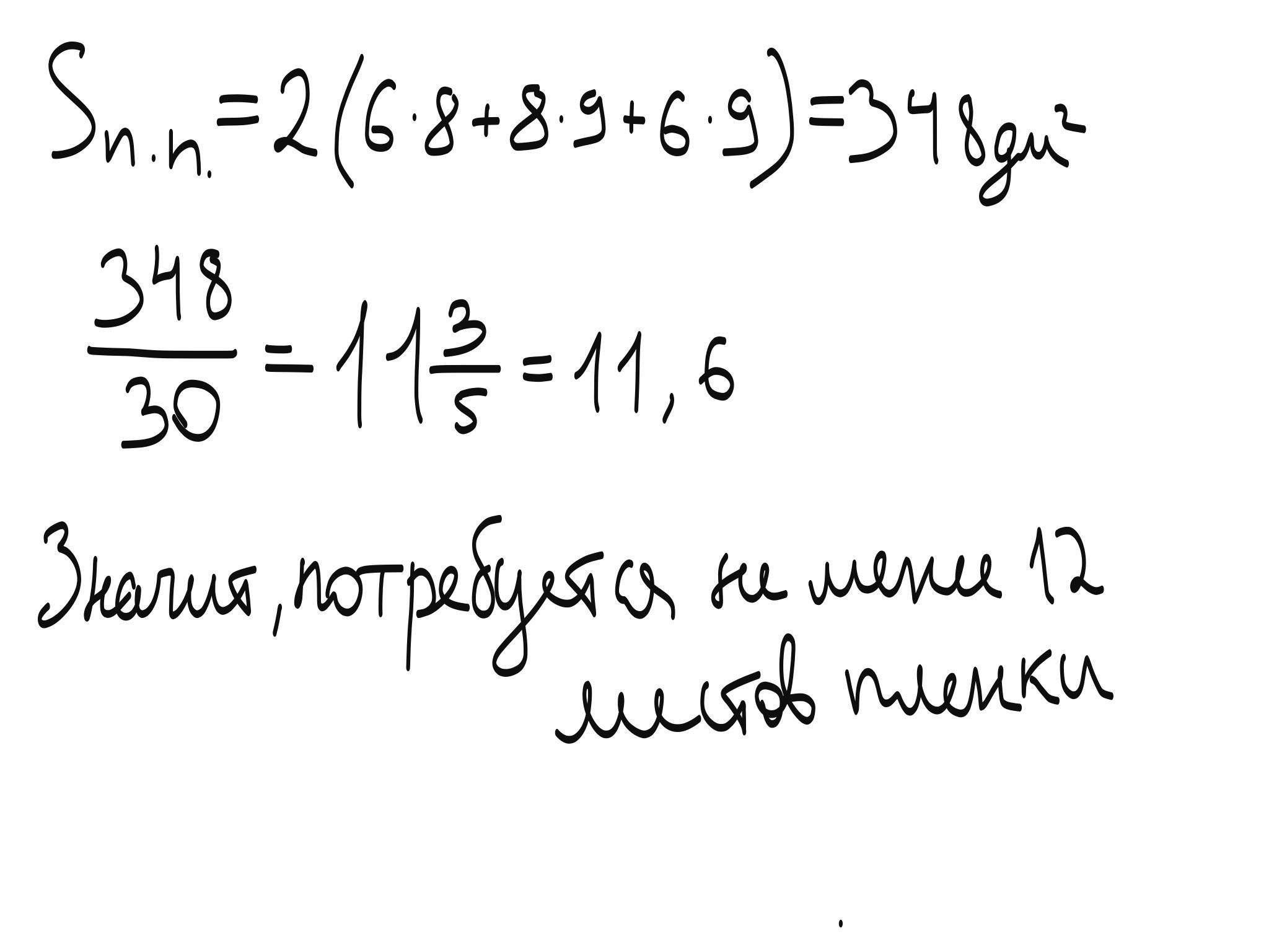
Пластиковый контейнер в форме прямоугольного параллелепипеда, высота которого 6 дм, ширина 8 дм, а длина 9 дм, решили обклеить самоклеящейся плёнкой. Сколько листов плёнки потребуется, если площадь одного листа плёнки равна 30 дм2?

Ответы

Ответ дал: Ифигения
0

Ответ: 12

Пошаговое объяснение:

Приложения:
Вас заинтересует