Найдите p и q , если точка А (1; -2) является вершиной параболы:
y= x² + 2px +q
Очень надо, с объяснением, заранее спасибо)
( даю 50 баллов)
Ответы
Ответ дал:
0
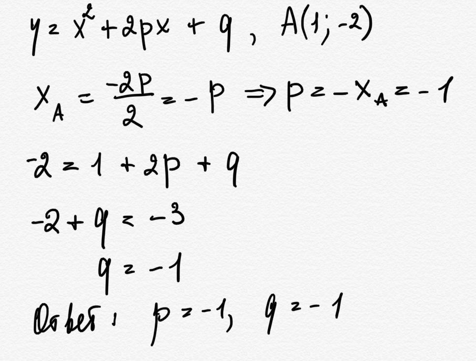
Решение внизу на картинке
Приложения:

Ответ дал:
0
Вершину найдем по формуле х₀=-b/2a ; у₀=у(х₀)
х₀=-b/2a=-2р/2=-р; -р=1⇒р=-1
у₀=у(1)=(1)²+2*(-1)*(1)+q=-2; q=-2-1+2; q=-1
Ответ р=-1; q=-1.
Приложения:

Вас заинтересует
2 года назад
3 года назад
8 лет назад
8 лет назад
9 лет назад