Ответы
Ответ дал:
0
Ответ:
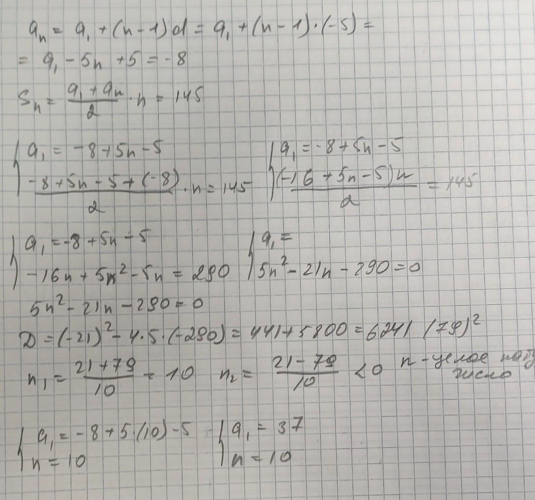
а=37 n=10 ...............
Приложения:

Вас заинтересует
2 года назад
2 года назад
3 года назад
8 лет назад
8 лет назад
9 лет назад