• Предмет: Математика
  • Автор: anastasiya554
  • Вопрос задан 8 лет назад

Подскажите с решением, пожалуйста. Дам 70 баллов

Приложения:

Ответы

Ответ дал: Nullpo201
0

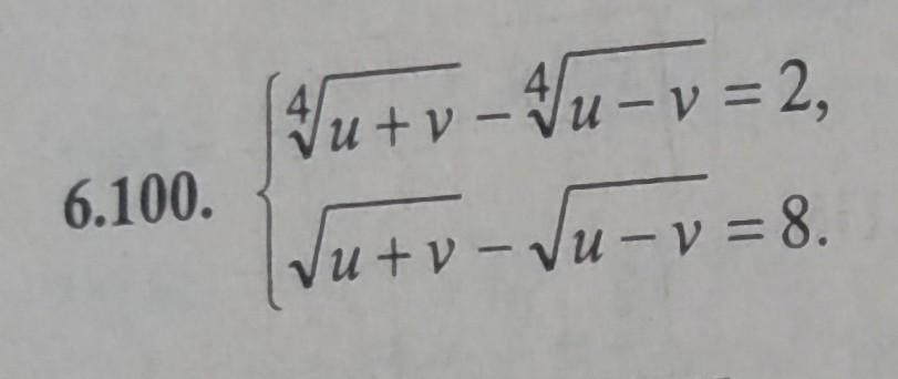
1)⁴✓u+v = a, ⁴✓u-v = b, тогда:

a² = ((u+v)¼)² = (u+v)½ = ✓u+v

b² = ✓u-v

{a-b = 2

{a²-b² = 8

{a-b = 2

{(a-b)(a+b) = 8

{a-b = 2

{a+b = 4

2a = 6

a = 3, b = 4-a = 1

2){⁴✓u+v = 3

{⁴✓u-v = 1

{u+v = 3⁴ = 81

{u-v = 1

2u = 82

u = 41, v = 81-u = 40

Ответ: {41; 40}

Ответ дал: IrkaShevko
0

Ответ:

Пошаговое объяснение:

Приложения:
Вас заинтересует