• Предмет: Алгебра
  • Автор: kira10111990
  • Вопрос задан 8 лет назад

Помогите срочно
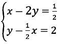
Решите:

Приложения:

Ответы

Ответ дал: NikolashkaLena
0

Ответ:

нет решений

Объяснение:выразим у через х: у=2+1/2х, подставим в первое уравнение: х-2(2+1/2х)=1/2 раскрываем скобки:

х-4-х=1/2

-4≠1/2 нет смысла

Вас заинтересует