• Предмет: Алгебра
  • Автор: Antochageargocha
  • Вопрос задан 8 лет назад

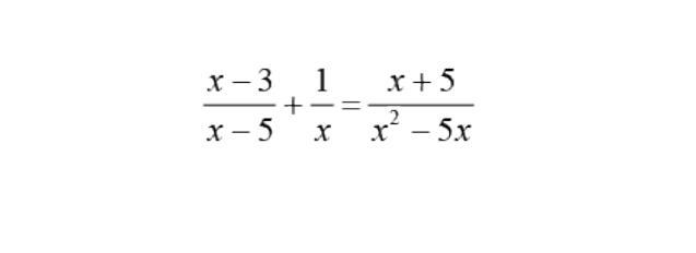
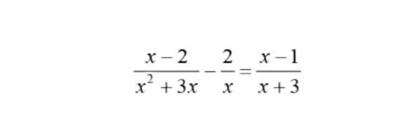
Помогите пожалуста. Сколько корней имеют эти уравнения?

Приложения:

Ответы

Ответ дал: aaakamilaaa
0

Ответ: в первом любые корни, т.е. R, а во втором один корень и это х=-2

Объяснение:

Вас заинтересует