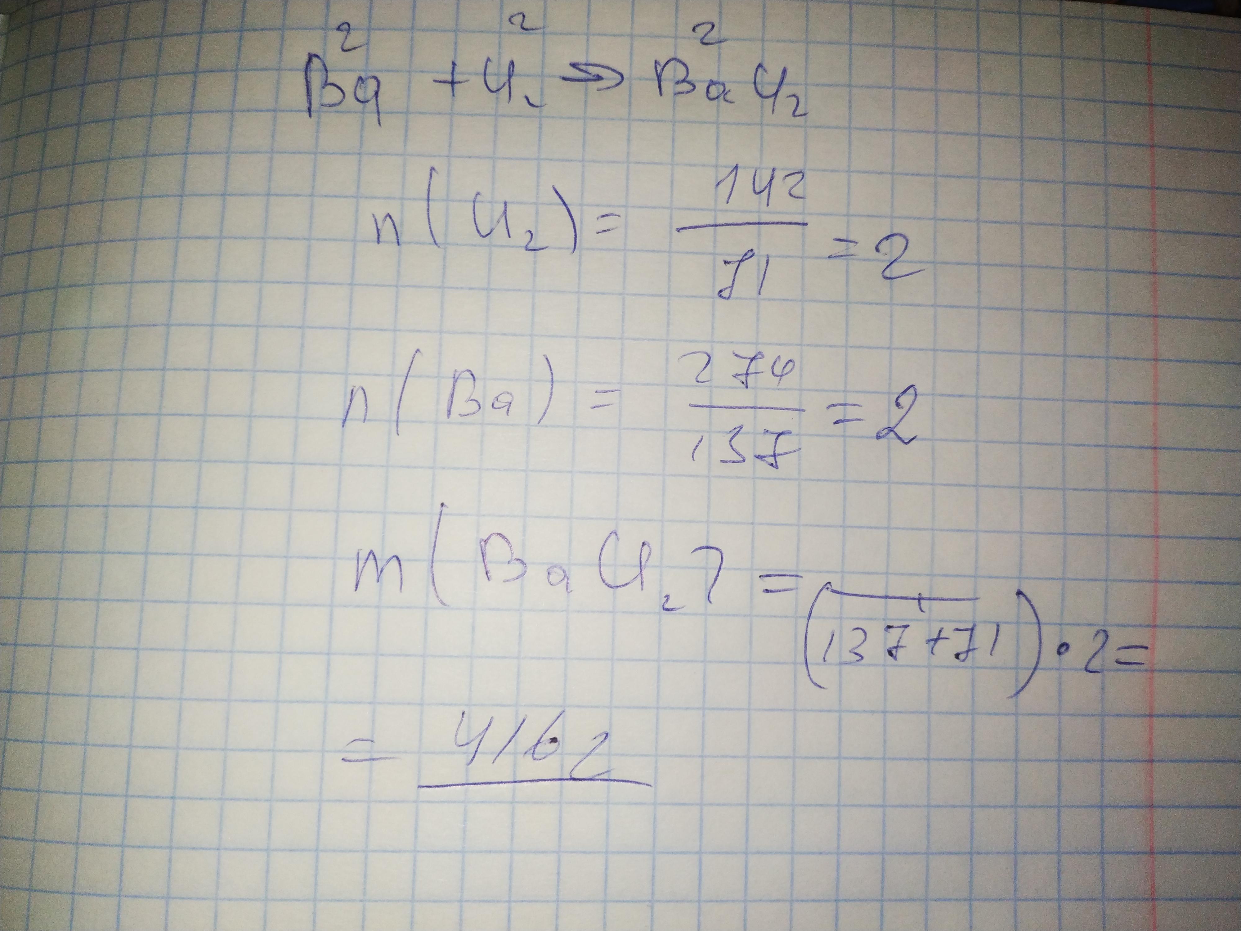
помогите ПЖ!!!!!!на хлорирование бария массой 274 г потрачен хлор Cl2 массой 142 г. Какая масса хлорида бария BaCl2 образовалась при этом(следует считать,что потерь нет)?
Ответы
Ответ дал:
0
Объяснение:
Не уверен,но думаю так
Приложения:

Вас заинтересует
2 года назад
3 года назад
3 года назад
8 лет назад
9 лет назад