• Предмет: Алгебра
  • Автор: simonkiki
  • Вопрос задан 8 лет назад

Помогите пожалуйста, срочно!

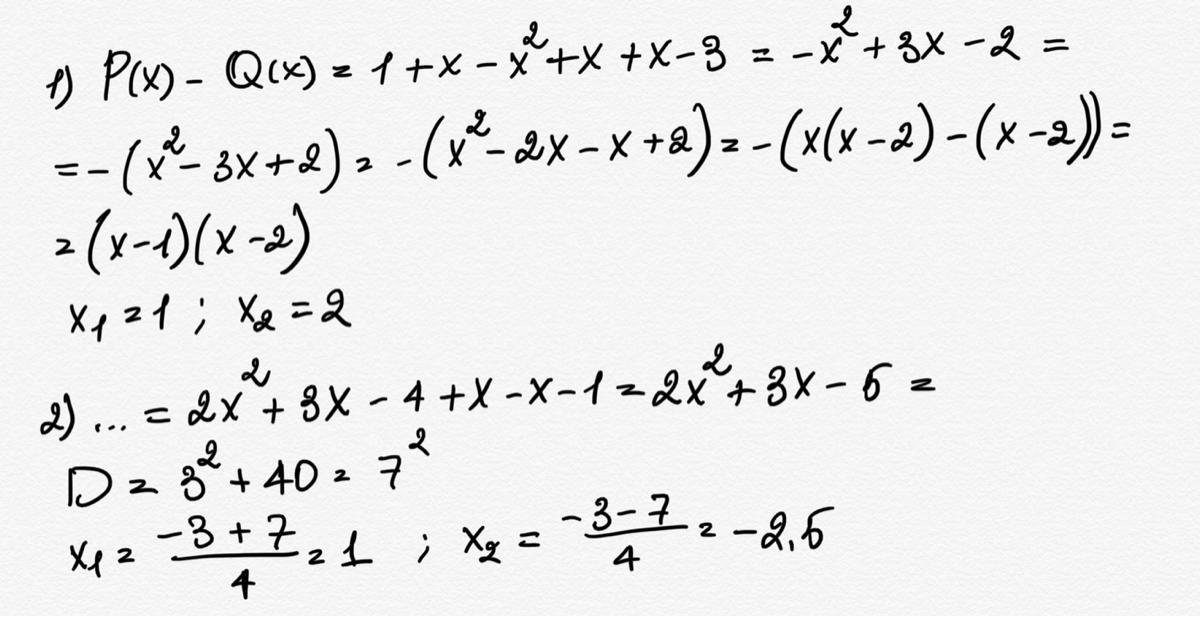
Даны многочлены:
1)P(x)=(1+x)-(x²-x) и Q(x)= -x+3
2)P(x)=(2x²+3x)-(4-x) и Q(x)= x+1
Найдите корни многочлена P(x)-Q(x)

Ответы

Ответ дал: vladbaranov201p67bwg
0
Решение внизу на картинке
Приложения:
Вас заинтересует