• Предмет: Алгебра
  • Автор: Tyaann
  • Вопрос задан 8 лет назад

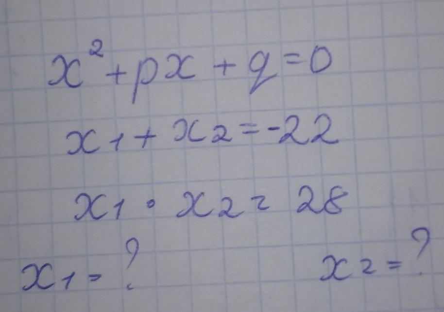
найдите х1 и х2 пожалуйста​

Приложения:

Ответы

Ответ дал: drakerton
0

Это теорема Виета. Исходя из неё x_1 + x_2 = -p, а x_1 cdot x_2 = q

Следовательно, уравнение имеет вид x^2 + 22 + 28 = 0

x^2 + 22x + 28 = 0\\D = 484-112 = 372\\sqrt{D} = 2sqrt{93}\\x_1 =  frac{-22-2sqrt{93}}{2} = -11 - sqrt{93}\\x_2 =  frac{-22+2sqrt{93}}{2} = -11 + sqrt{93}

Ответ дал: Tyaann
0
спасибо большоеееее
Вас заинтересует