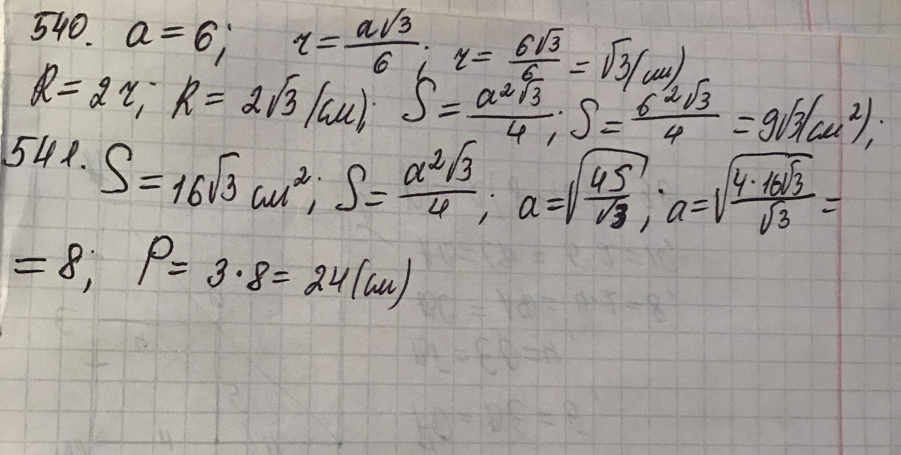
540. Найдите площадь, радиусы вписанной и описанной окружностей для равностороннего треугольника со стороной 6 см.
( Вторая задача 541. )
Площадь равностороннего треугольника равна 16 корень 3 см .Найдите периметр треугольника.
Геометрия 9 класс
Приложения:

Ответы
Ответ дал:
0
Відповідь на фото.................
Приложения:

Вас заинтересует
2 года назад
2 года назад
3 года назад
3 года назад
8 лет назад
8 лет назад