СРОЧНО ПОЖАЛУЙСТА!!!
Возьмите настольную лампу и вверните в нее лампочку с прозрачным баллоном мощностью 100-150 Вт. Установите лампу в затемненной комнате так, чтобы она освещала стену и находилась от нее на расстоянии 2-4 м. Затем возьмите лист картона и сделайте в нем шилом круглые отверстия диаметром примерно 1 мм и 2 мм. Сделайте в этом же листе треугольное и квадратное отверстия со сторонами около 1 мм. Затем расположите лист параллельно освещаемой стене на расстоянии 20-30 см от нее. Исследуйте полученные изображения и ответьте на вопросы: а) какие изображения нити накала горящей лампы вы получили? (Увеличенные или уменьшенные, прямые или перевернутые?) Объясните наблюдаемое явление; б) зависит ли изображение нити лампы от формы отверстия? в) зависит ли получаемое изображение от размеров отвер стия? г) исследуйте, как изменяется характер изображений при увели чении и уменьшении расстояния между листом картона и стеной; *д) измерьте расстояние от листа картона до стены и какой-либо размер изображения нити накала. Затем отодвиньте лист от сте ны на несколько сантиметров и повторите измерения. Из полу ченных данных вычислите расстояние от стены до нити на�ала. Измерьте это расстояние и сравните его с рассчитанным.
Ответы
Ответ дал:
0
Ответ:
a) Изображение уменьшенное, перевернутое. Уменьшенное потому, что расстояние от лампы до отверстия больше, чем расстояние от отверстия до экрана. Т. к. отверстие маленькое, а свет распространяется по прямой, то изображение верхней части предмета окажется внизу, а нижняя - вверху.
б) От формы отверстия изображение нити накала не зависит.
в) Зависит, чем больше диаметр отверстия, тем больше размер изображения и тем менее чёткое изображение.
г) При увеличении расстояния между экраном и стеной, размер изображения увеличивается, при уменьшении - уменьшается.
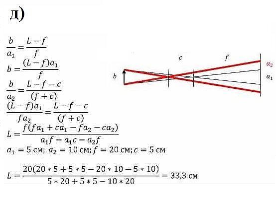
д) Из подобия треугольников
Смотри на картинке
Приложения:

Вас заинтересует
2 года назад
2 года назад
3 года назад
3 года назад
8 лет назад
9 лет назад