• Предмет: Геометрия
  • Автор: StilinskiStiles24
  • Вопрос задан 8 лет назад

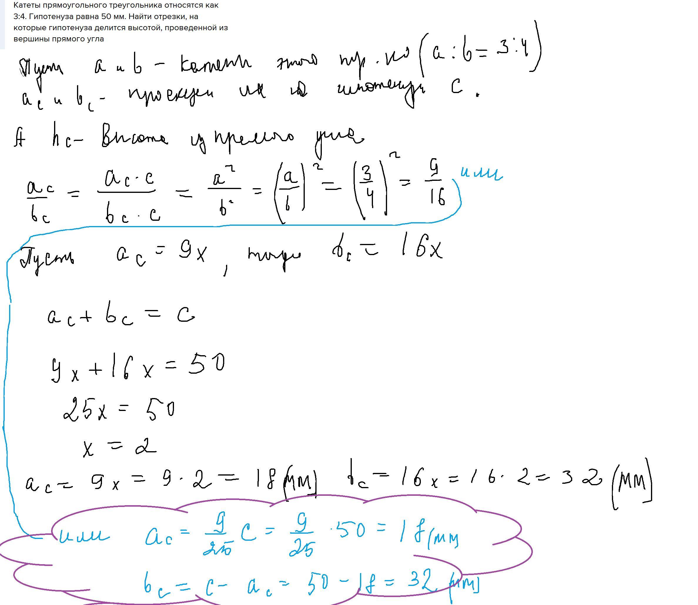
Катеты прямоугольного треугольника относятся как 3:4. Гипотенуза равна 50 мм. Найти отрезки, на которые гипотенуза делится высотой, проведенной из вершины прямого угла

Ответы

Ответ дал: vikll
0

Ответ:

Объяснение:Катеты прямоугольного треугольника относятся как 3:4

Приложения:
Вас заинтересует