НУЖНО СТОЛБИКОМ НА ЛИСТКЕ - ПИШУЩИЕ ОТВЕТЫ НА КЛАВИАТУРЕ - НЕ НУЖНЫ, ЗАРАНЕЕ СПАСИБО!
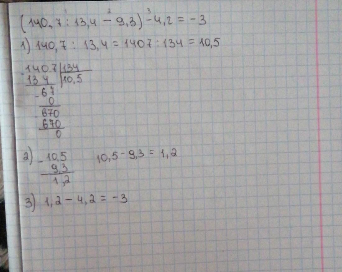
(140,7:13,4-9,3)-4,2=?
Ответы
Ответ дал:
0
(140,7:13,4-9,3)-4,2=-3
Приложения:

Вас заинтересует
3 года назад
3 года назад
8 лет назад
8 лет назад
9 лет назад