Ответы
Ответ дал:
0
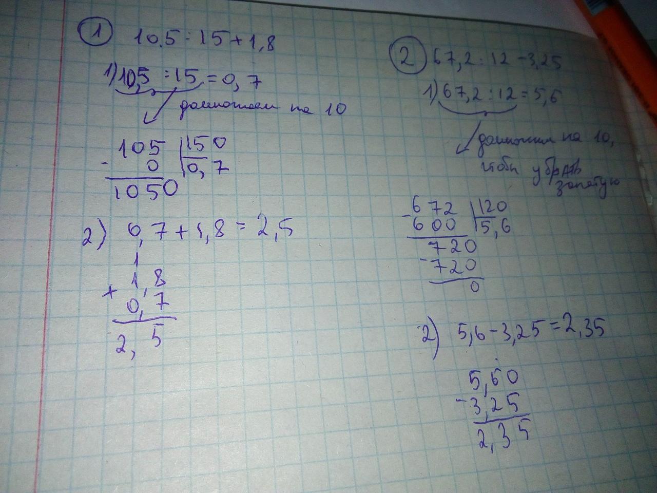
1) 10.5 : 15 + 1.8=2.5
Первым действием делим:
10.5 : 15 = 0.7
Для деления столбиком домножим на 10, чтобы убрать запятые.
Далее сложение:
0.7+1.8=2.5
2)67.2 : 12 - 3.25 =2.35
Первым действием делим:
67.2 : 12 = 5.6
Для деления столбиком домножим на 10, чтобы убрать запятые.
Вторым действием сложение:
5.6-3.25=2.35
ВСЕ ВЫЧИСЛЕНИЯ В СТОЛБИК ВО ВЛОЖЕНИИ
Приложения:

Ответ дал:
0
Ответ:
Пошаговое объяснение:
Приложения:

Вас заинтересует
2 года назад
2 года назад
3 года назад
3 года назад
8 лет назад
8 лет назад
9 лет назад