• Предмет: Алгебра
  • Автор: matematikL
  • Вопрос задан 8 лет назад

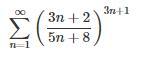
Исследовать на сходимость ряд

Приложения:

Ответы

Ответ дал: NNNLLL54
0

sum limits _{n=1}^{infty }Big(frac{3n+2}{5n+8}Big)^{3n+1}\\Augustin; Louis; Cauchi:\\limlimits _{n to infty}sqrt[n]{Big(frac{3n+2}{5n+8}Big)^{3n+1}}=limlimits _{n to infty}Big(frac{3n+2}{5n+8}Big)^{3+frac{1}{n}}=(frac{3}{5})^3=frac{27}{125} <1; ; Rightarrow ; ; sxoditsya

Ответ дал: Аноним
0

Ответ: во вложении Объяснение:

Приложения:
Вас заинтересует