помогите пожалуйста решить интеграл!Решение нужно описать прдробно,заранее спасибо!
Приложения:

Ответы
Ответ дал:
0
Ответ:
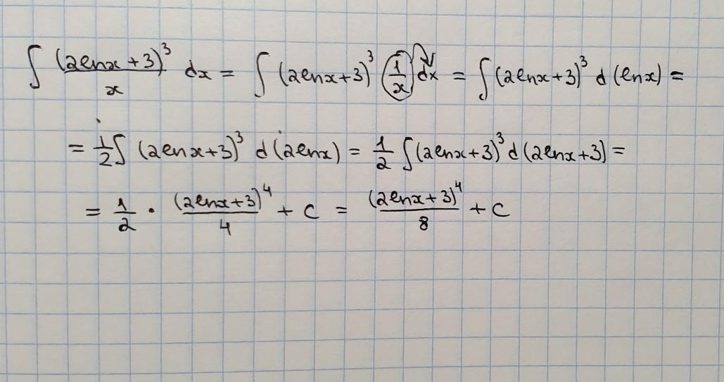
решение на фотографии
Пошаговое объяснение:
производная lnx - это 1/x. В интеграле она есть, поэтому заносим под знак дифференциала и получаем d(lnx). далее преобразовываем выражение в дифференциале, а именно: добавляем туда двойку путём разбиения единицы на 2×1/2, 2 заносим, а константу (3) можно добавить "просто так", так как при дифференцировании любая константа - 0. И все, интегрируем по этому большому выражению: повышаем степень и кидаем эту степень также в знаменатель по правилу интегрирования.
Приложения:

Вас заинтересует
2 года назад
3 года назад
3 года назад
8 лет назад
8 лет назад