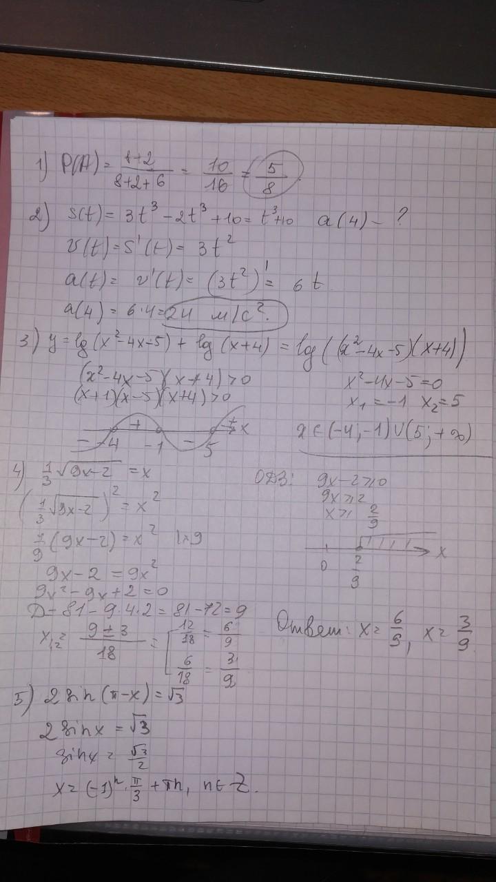
1) В ящике лежат 8 зеленых шаров, 2 желтых и 6 белых. Наугад выбирается один шар. Какова вероятность того, что этот шар цветной (не белый).
2) Тело движется по закону: S (t) = 3 t³ - 2 t³ + 10. Найдите ускорение тела через 4 секунды после начала движения.
3) Найдите область определения функции y=lg( x² - 4x - 5 ) + lg( x + 4 )
4) Решите уравнение: (фото)
5) Решите уравнение: 2 sin (π - x)= √3
Приложения:

Ответы
Ответ дал:
0
Відповідь:
Пояснення:
Приложения:

Ответ дал:
0
Ответ:
test123
Объяснение:
1231
Приложения:

Вас заинтересует
2 года назад
2 года назад
3 года назад
8 лет назад
8 лет назад